Gower That Uses Factors Continuous and Semi quantitative Descriptors
Article
Agronomic performance and genetic dissimilarity of second-harvest soybean cultivars using REML/BLUP and Gower's algorithm
Universidade Federal de Santa Maria, Brazil
Universidade Federal do Pampa, Brazil
Universidade Federal de Santa Maria, Brazil
Universidade Federal de Pelotas, Brazil
Universidade Federal de Viçosa, Brazil
Universidade Federal de Santa Maria, Brazil
Universidade Federal de Pelotas, Brazil
Universidade Federal de Santa Maria, Brazil
Universidade Tecnológica Federal do Paraná, Brazil
Universidade Federal de Santa Maria, Brazil
Agronomic performance and genetic dissimilarity of second-harvest soybean cultivars using REML/BLUP and Gower's algorithm
Bragantia, vol. 78, no. 2, 2019
Instituto Agronômico de Campinas
Received: 25 May 2018
Accepted: 01 August 2018
ABSTRACT: The cultivation of second-harvest with soybean crop after first-harvest with maize crop has become an alternative to aggregate income to farmers in the South region of Brazil. However, there is little information about this cropping system in this region. The aims of this study were to: (i) evaluate the agronomic performance of soybean (Glycine max L.) cultivars growing in second-harvest during the summer; and (ii) evaluate the genetic divergence of the cultivars based on qualitative and quantitative traits. To do this, 18 soybean cultivars were evaluated in three field trials, sown during January in the northwestern region of Rio Grande do Sul state, Brazil. In each experiment, a randomized block design with four replicates was used. Five quantitative traits (representing the agronomic performance of the cultivars) and 12 qualitative traits (morphological descriptors) were assessed aiming at studying the genetic divergence. Variance components and genetic parameters were estimated using mixed models and BLUPs for genotypes were estimated for each quantitative trait. The cultivars FPS Iguaçu RR and BMX Turbo RR have good agronomic performance and are, based on quantitative and qualitative traits, genetically distant. These cultivars have shown agronomic features that allow their cultivation in the second-harvest in the northwestern of Rio Grande do Sul in addition to be potential genitors for future soybean breeding programs.
Key words: Glycine max L., mixed models, quantitative and qualitative traits, UPGMA.
INTRODUCTION
The area of soybean cultivation in Brazil is 35 million hectares, being Rio Grande do Sul the second largest producer state with a cultivated area of 5.69 million hectares (CONAB 2018). In addition to the soybean crop, the state of Rio Grande do Sul stands out in the cultivation maize, a crop that, due to climatic advent and factors related to the commercialization price at the time of harvest, has anticipated its sowing by August/September, instead of October (Matzenauer et al. 2002). As a larger part of the maize area is harvested up to January, there is the possibility of soybean cultivation in the second crop, characterizing a corn/soybean system. This cropping system has gained more and more followers among farmers of the northwest of Rio Grande do Sul state.
Studies on soybean cultivation in the second-harvest in subtropical regions are still limited and should be fostered by research. Among the research conducted, it can be cited studies evaluating the agronomic performance of the soybean in late periods of cultivation in the southern region of Brazil, that evaluated the first-pod insertion height across sowing times, plant height, and mass of seeds (Braccini et al. 2004), the number of branches (Ludwig et al. 2010; Zanon et al. 2015) and the grain yield (Ludwig et al. 2010).
Besides the agronomic performance of the cultivars, it is important to study the genetic divergence of soybean cultivars. Studies with genetic divergence in this crop were carried out to evaluate the oil content (Peluzio et al. 2014), fatty acid content for biodiesel production (Lima and Peluzio 2015), crude protein, oil content and average contents of fatty acids (Rodrigues et al. 2017). Studies are also reported in the literature to evaluate the morphological traits and genetic divergence of cultivars in specific cropping regions and conditions, such as genetic dissimilarity in a lowland environment in Tocantins (Almeida et al. 2011), first-crop cultivation in the states of Rio Grande do Sul (Rigon et al. 2012), Mato Grosso do Sul (Torres et al. 2015), and Piauí (Sousa et al. 2016), as well as in Tanzania (Lyimo et al. 2017). These regional evaluations are important since the soybean crop is responsive to the photoperiod and temperature (Silva et al. 2015). Hence, the indication of cultivars with different genetic constitutions should be based on specific environments, thus, justifying the regionalized studies.
Studying the agronomic performance of cultivars based on BLUP prediction associated with genetic divergence is important for the recommendation of cultivars and for the choice of divergent parents in breeding programs since the mixed models provide a robust estimation of variance components and prediction of the response variable (Duarte and Vencovsky 2001). Studies to identify the genetic variability using mixed models were applied to the soybean crop (Teodoro et al. 2016) and, because this crop presents a narrow genetic base (Wysmierski and Vello 2013; Marconato et al. 2016), it is important to look for alleles that contribute to increase their genetic variability. Therefore, studying genetic divergence, using both quantitative variables (BLUPs), and qualitative variables (morphological descriptors), adds a greater amount of genetic information to the study. In this sense, the Gower's algorithm (Gower 1971) is an important tool to analyze this kind of information, i.e., a mix of both quantitative and qualitative traits.
In this context, the aims of this study were to: (i) evaluate the agronomic performance of second-harvest soybean cultivars (Glycine max L.) using mixed models; and (ii) evaluate the genetic divergence based on the Gower's algorithm and UPGMA (Unweighted Pair-Group Method Using an Arithmetic Average) grouping, based on qualitative and quantitative traits.
MATERIAL AND METHODS
Location of field trials
The experiments with the soybean crop sown after the first-harvest with maize crop were conducted in three municipalities of the northwest region of Rio Grande do Sul state, Brazil: (i) Barra do Guarita (lat 27°09' S, long 53°46' W, 168 m above sea level); (ii) Vista Gaúcha(lat 29°11' S, long 53°47' W, 338 m above sea level); and (iii) Tenente Portela (lat 27°23' S, long 53°46' W, 442 m above sea level). The sowing dates were January 9, 2013, January 10, 2013, and January 24, 2013, respectively.
Experimental design, crop management, and assessed traits
The experiments were carried out in a randomized block design with four replicates (blocks). The experimental units (plots) were composed of four 5 m-long cropping rows, spaced at 0.45 m. The useful area was 3.6 m2 obtained by eliminating the two border rows and 0.5 m at each end of the rows.
The treatments of the study correspond to the following 18 soybean cultivars: FPS Urano RR, Don Mario 6200, BRS Tordilha RR, BMX Ativa RR, Fundacep 65 RR, FPS Solimões RR, BMX Alvo RR, BMX Apolo RR, FPS Iguaçu RR, BMX Força RR, BMX Classe RR, BMX Potência RR, FPS Paranapanema RR, BMX Energia RR, BMX Tornado RR, FPS Júpiter RR, BMX Magna RR, and BMX Turbo RR. These cultivars were chosen because they represent a large amount of the used cultivars by farmers of the northwest region of Rio Grande do Sul state.
The sowing density was adjusted to 15 plants per row meter under a no-tillage system in the straw, after first-harvest with maize crop. The base-fertilization in the three experiments was 5 kg∙ha–1 of N, 50 kg∙ha–1 of P2O5, and 50 kg∙ha–1 of K2O, applied at the sowing. Cultural practices, such as insect and weed-plant control were carried out whenever necessary, so that the crop did not suffer competition, following technical management instructions for the study site.
Five quantitative traits were assessed to evaluate the agronomic performance of the cultivars: first-pod insertion height (FPIH, in cm), plant height (PH in cm), number of branches (NB, considering those with > 10 cm), grain yield (GY, in Mg∙ha–1 at 13% of moisture), and hundred-kernels weight (HKW, in g). For greater representativeness in the study of genetic divergence, 12 qualitative traits were also used. These traits were classified into two categories:(i) nominal variables, including flower color (FC, white = 1,purple = 2), pod color (PodC: light gray = 1, dark gray = 2,light brown = 3, medium brown = 4, dark brown = 5), seed shape (SS: spherical = 1, spherical-flattened = 2, elongated = 3, elongated-flattened = 4), tegument color (TC: yellow = 1, greenish-yellow = 2, green = 3, light brown = 4, medium brown = 5, dark brown = 6, black = 7),pubescence color (PC: gray = 1, light brown = 2, mediumbrown = 3), hilum color (HC: gray = 1, yellow = 2, lightbrown = 3, medium brown = 4, black imperfect = 5, black = 6),growth habit (GH: determinate = 1, semi-determinate = 2, indeterminate = 3), seed brightness (SB: low = 3, medium = 5,high = 7), pubescence density (PD: low = 3, medium = 5,high = 7), and relative maturity group (RMG, scale of 1 to 10); and (ii) dichotomous variables, including the traits anthocyanin hypocotyl pigmentation (PAH: absent = false, presence = true) and peroxidase reaction (RP: positive = true,negative = false).
The qualitative traits correspond to those reported by the maintainers of the cultivars (Table 1), published by the Ministério da Agricultura, Pecuária e Abastecimento (MAPA 2018).
Table 1
Values of 12 qualitative characters, corresponding to 18 soybean cultivars, informed by the maintainers to the Ministério da Agricultura, Pecuária e Abastecimento.
| Cultivars | RMGa | FC | PodC | SS | TC | PC |
|---|---|---|---|---|---|---|
| FPS Urano RR | 6.3 | purple | light gray | spherical | yellow | gray |
| DMario 6200 | 5.8 | white | light gray | spherical | yellow | gray |
| BRS Tordilha RR | 6.2 | white | light gray | spherical | yellow | gray |
| BMX Ativa RR | 5.6 | purple | light gray | spherical | yellow | gray |
| Fundacep 65RR | 5.9 | white | light gray | spherical-flattened | yellow | gray |
| FPS Solimões RR | 5.7 | purple | medium brown | spherical | yellow | medium brown |
| BMX Alvo | 5.9 | white | light gray | spherical | yellow | gray |
| BMX Apolo | 5.5 | white | light brown | spherical | yellow | gray |
| FPS Iguaçu RR | 5.0 | white | light brown | spherical-flattened | yellow | light brown |
| BMX Força RR | 6.2 | white | light gray | spherical | yellow | gray |
| BMX Classe RR | 6.9 | white | dark gray | spherical-flattened | yellow | gray |
| BMX Potência RR | 6.6 | white | light gray | spherical | yellow | gray |
| FPS Paranapanema RR | 5.6 | purple | medium brown | spherical | yellow | light brown |
| BMX Energia RR | 5.0 | purple | light brown | spherical | yellow | gray |
| BMX Tornado RR | 6.3 | purple | dark gray | spherical-flattened | yellow | gray |
| FPS Júpiter RR | 5.6 | white | light brown | spherical | yellow | gray |
| BMX Magna | 6.2 | white | light gray | spherical | yellow | gray |
| BMX Turbo RR | 5.8 | purple | dark gray | spherical-flattened | yellow | gray |
| Cultivars | PD | HC | GH | SB | PAH | RP |
| FPS Urano RR | high | light brown | determinate | low | presence | positive |
| DMario 6200 | high | light brown | determinate | low | absent | negative |
| BRS Tordilha RR | high | light brown | determinate | medium | absent | positive |
| BMX Ativa RR | high | black imperfect | determinate | low | presence | negative |
| Fundacep 65RR | high | light brown | determinate | low | absent | negative |
| FPS Solimões RR | high | medium brown | indeterminate | low | presence | positive |
| BMX Alvo | high | light brown | indeterminate | medium | absent | negative |
| BMX Apolo | high | yellow | indeterminate | low | absent | positive |
| FPS Iguaçu RR | high | black | indeterminate | medium | absent | negative |
| BMX Força RR | high | light brown | indeterminate | low | absent | negative |
| BMX Classe RR | high | light brown | indeterminate | medium | absent | positive |
| BMX Potência RR | high | light brown | indeterminate | low | absent | positive |
| FPS Paranapanema RR | high | medium brown | semi-determinate | low | presence | positive |
| BMX Energia RR | high | gray | indeterminate | low | presence | positive |
| BMX Tornado RR | high | black imperfect | indeterminate | medium | presence | positive |
| FPS Júpiter RR | high | light brown | indeterminate | low | absent | negative |
| BMX Magna | high | light brown | indeterminate | low | absent | negative |
| BMX Turbo RR | high | light brown | indeterminate | medium | presence | positive |
Statistical analysis
The deviance analysis was performed by subtracting the reduced model (without heritability estimates) from the complete model (with heritability estimates). A likelihood ratio test (LTR) was performed, considering the tabulated value of chi-square distribution with one degree of freedom. The variance components were estimated by REML using the E-M algorithm (Dempster et al. 1977). The genetic parameters were predicted by BLUP, considering the following mixed model equation (Eq. 1):
(1)
where: y is the vector of data; b is the fixed effects vector (block within environments); g is the genotypic effect vector (assumed as random); i is the genotype-by-environment (random) interaction vector; and ε is the residual vector; X, Z and W are the incidence matrices to the effects of b, g and i, respectively.
The genotypic values free from interaction effects were predicted from m + g, where m is the overall mean and ĝ is the genotypic effect. These procedures were performed using the model 54 of the Selegen software (Resende 2016).
The confidence intervals for BLUPs were estimated according to Eq. 2 (Resende 2002):
(2)
where: CI is the confidence interval; Gv is the genotypic value; t is the value of Student's t distribution associated to a given significance level in a two-tailed test (t = 1.96, considering α = 0.05); r 2 âa is the selective accuracy; and σ 2 G is the genotypic variance.
Aiming at studying the genetic divergence using both quantitative and qualitative variables, the Gower algorithm was used (Gower 1971). Let Sij be the distance between the genotypes i and j, considering k variables. This distance was estimated by (Eq. 3):
(3)
where: Wijk is the weight for the comparation ijk, being Wijk = 1 for valid comparisons and Wijk = 0 for invalid comparisons (i.e., when values are omitted for one or both genotypes); Sijk is the contribution of the variable k in the divergence between the genotypes i e j, assuming values between 0 e 1. For a nominal variable, if the value of the variable k is the same for both genotypes (i and j), thenSijk = 1, otherwise, Sijk = 0. Considering a continuous variable, Sijk = | xik – xjk |/Rk, in which xik and xjk are the values of the variable k for the genotypes i and j, respectively, and Rk is the range of the variable k in the dataset. The division by Rk turns the variables in the same scale, generating values between 0 and 1 and equal weights. For a dichotomic variable, Sijk = 0 if xik = xjk = TRUE and Sijk = 1 otherwise. The distance matrix was estimated using the function gower.dist of the StatMatch package in R 3.4.2 software (R Core Team 2016).
Hierarchical clustering was obtained by the UPGMA method using the Gower's distances matrix. The number of groups was estimated using the pvclust function of the pvclust package (Suzuki and Shimodaira 2006) inR 3.4.2 software. This function assesses the uncertainty in hierarchical cluster analysis using multiscale bootstrap resampling. Based on 10,000 resampling, groups with approximately unbiased p-value < 0.05 were considered significant. The association between the graphical and original distance matrices was determined by the cophenetic correlation coefficient (CCC) (Sokal and Rohlf 1962). The significance of CCC was determined by the Mantel's tests with 1,000 permutations.
RESULTS AND DISCUSSION
The likelihood ratio test has revealed statistical significance for genotype random effects for all studied variables (Table 2). The variables PH (S 2 G = 72.35%), HKW (σ 2 G = 72.13%), and FPIH (σ 2 G = 50.20%) presented the largest genetic variance (σ 2 G ), whereas the variables NB (σ 2 G = 29.00%) and GY (σ 2 G =19.57%) presented lower genetic variance. On the other hand, the variables with higher environmental influence were NB and GY. The larger environmental variance for GY can be justified by a large number of genes associated with the expression of this variable.
Table 2
Likelihood ratio test, variance components and genetic parameters of 18 second-harvest soybean cultivars for the traits first-pod insertion height (FPIH), plant height (PH), number of branches (NB), hundred-kernels weight (HKW) and grain yield (GY).
| Variance components | FPIH | PH | NB | HKW | GY |
|---|---|---|---|---|---|
| Genetic variance | 4.189 (50.20%)a | 98.082 (72.35%) | 0.319 (29.00%) | 1.669 (72.13%) | 0.049 (19.57%) |
| Genotype-by-environment variance | 0.321 (3.85%) | 8.156 (6.02%) | 0.072 (6.63%) | 0.261 (11.28%) | 0.023 (9.47%) |
| Residual variance | 3.834 (45.95%) | 29.316 (21.63%) | 0.708 (64.37%) | 0.383 (16.59%) | 0.179 (70.96%) |
| Phenotypic variance | 8.345 | 135.555 | 1.100 | 2.314 | 0.253 |
| Individual heritability without interaction effects | 0.502 ± 0.13 | 0.723 ± 0.163 | 0.290 ± 0.105 | 0.721 ± 0.163 | 0.196 ± 0.085 |
| Coefficient of determination of the interaction | 0.038 | 0.060 | 0.066 | 0.112 | 0.094 |
| Average heritability | 0.907 | 0.950 | 0.793 | 0.933 | 0.684 |
| Selective accuracy | 0.952 | 0.974 | 0.890 | 0.966 | 0.827 |
| Correlation between locations | 0.928 | 0.923 | 0.814 | 0.864 | 0.675 |
| Overall mean | 10.772 | 55.05 | 2.162 | 12.952 | 1.869 |
| χ2 | 35.60 | 53.65 | 15.88 | 44.98 | 8.59 |
| p-value | 2.417e-09 | 2.387e-13 | 6.729e-05 | 1.981e-11 | 0.0033 |
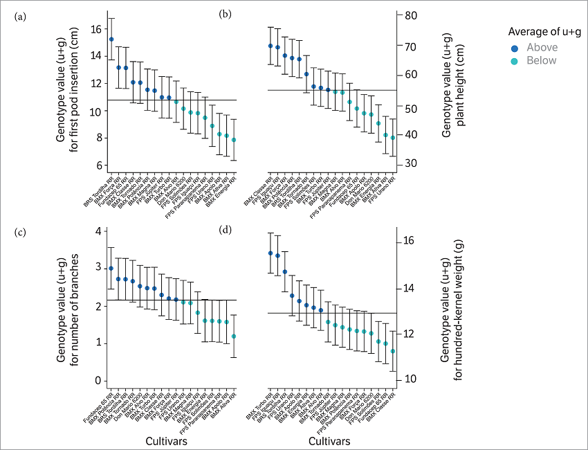
The BLUP for FPIH (Fig. 1a) revealed positive genotypic effects for the cultivars BRS Tordilha RR, BMX Força RR, Fundacep 65 RR, BMX Classe RR, BMX Tornado RR, BMX Potência RR, BMX Magna RR, FPS Júpiter RR and BMX Turbo RR. For the cultivars BMX Alvo RR, Don Mario 6200, FPS Solimões RR, FPS Iguaçu RR, FPS Paranapanema RR, FPS Urano RR, BMX Apolo RR, BMX Ativa RR, and BMX Energia RR, the genotypic effect is negative. It should be emphasized that the genotypic effect is the difference between the point and the horizontal line (demonstrating the overall mean of the trait). In the BLUP prediction, the effects of the ANOVA model are estimated, and then weights are assigned to the estimates of the random effects (in this case, genotype and interaction effects), giving a shrinkage effect to this predictor (Piepho 1994). The cultivar BRS Tordilha RR presented the largest predicted mean (15.248 cm). In addition, the cultivars BMX Força RR (13.172 cm) and Fundacep 65 RR (13.142 cm) presented overlapped confidence intervals, indicating no difference between these cultivars for the studied trait.
Figure 1
Predicted (a) first-pod insertion height, (b) plant height, (c) number of branches, and (d) hundred-kernel weight for 18 soybean cultivars growing in second-harvest.
The FPIH is a variable of great importance for soybean cultivars, being related to the efficiency of mechanical harvest. Depending on the different shapes of the land, mechanical harvesting is difficulted with FPIH lesser than 10 cm (Rezende and Carvalho 2007); moreover, due to environmental and crop management influences that may provide inconstant FPIH, it is preferable to adopt cultivars with FPIH of 15 cm (Rocha et al. 2012). Among the three cultivars, only the BRS Tordilha RR cultivar reached 15 cm, the cultivars BMX Força RR and Fundacep 65 RR are in agreement with a study carried out in India evaluating 90 genotypes, which indicates that the ideal FPIH is greater than or equal to 12 cm aiming at lower grain losses and high operating efficiency (Ramteke et al. 2012).
The BLUPs for the PH (Fig. 1b) indicated that the cultivars BMX Classe RR, FPS Iguaçu RR, BMX Força RR, BMX Potência RR, BRS Tordilha RR, BMX Tornado RR, FPS Solimões RR, BMX Turbo RR, and FPS Júpiter RR have positive genetic effects. On the other hand, BMX Magna RR, BMX Alvo RR, FPS Paranapanema RR, Fundacep 65 RR, BMX Apolo RR, Don Mario 6200, BMX Energia RR, BMX Ativa RR, and FPS Urano RR have a negative genetic effect. This fact indicates that these cultivars have difficulty adapting to the late growing conditions. For the soybean crop, plant height has a positive cause and effect relationship with GY (Follmann et al. 2017), that is, it can be inferred that cultivars with an estimated BLUP greater than or equal to 55.158 cm have an additive genetic effect in relation to the 18 cultivars studied and may present a positive relationship with grain yield.
Considering the confidence intervals, the cultivars from BMX Classe RR (PH = 69.82 cm) to BMX Tornado RR (PH = 60.41 cm) have no statistical difference and may be indicated for second-harvest growing season in the northwestern of Rio Grande do Sul state. Other studies in this sowing period have indicated a reduction of the PH in relation to other (first-harvest) growing seasons (Braccini et al. 2004; Ludwig et al. 2010; Meotti et al. 2012). Thus, it is indicated that cultivars that express higher PH be cultivated in second-harvest, justified by the presence of positive relation with grain yield (Meotti et al. 2012; Follmann et al. 2017).
For the NB (Fig. 1c), the cultivars that had positive genotypic effect (higher than the overall mean) were Fundacep 65 RR, BMX Potência RR, BRS Tordilha RR, BMX Tornado RR, Don Mario 6200, BMX Alvo RR, BMX Turbo RR, BMX Classe RR, BMX Força RR, and FPS Júpiter RR. The cultivars FPS Urano RR, BMX Magna RR, FPS Iguaçu RR, BMX Energia RR, FPS Solimões RR, FPS Paranapanema RR, BMX Apolo RR, and BMX Ativa RR had negative genetic effect, indicating low branching ability in late growing seasons. A study carried out in different sowing times in the state of Rio Grande do Sul revealed that the NB in the soybean crop decreases with the delay of the sowing time, with mean values of NB < 2 (sowing in February), less than a half of those observed for sowing in September (Zanon et al. 2015).
The cultivars with the most favorable BLUPs for NB were those included between Fundacep 65 RR (3.012 branches∙plant–1) and BMX Turbo RR (2.474 branches∙plant–1). No statistical difference was observed among these cultivars, and the predicted values are greater than those observed by Zanon et al. (2015) for the sowing in February.
The NB is related to the plasticity of the soybean cultivars, being crucial for canopy establishment, especially when there is a decrease in the plant density due to diseases and pests. Cultivars with greater branching capacity have a greater ability to compensate possible faults (Zanon et al. 2015), possibly due to the lower cycle of cultivation. The knowledge of the genetic expression of this trait for each cultivar is important to define management strategies such as sowing density, for example. Factors such as environment, cultivars, and growth habit, are related to the expression of NB, as also observed in a study carried out in the USA, which indicated a decrease in the NB, for cultivars of indeterminate growth habit associated with higher plant density (Setiyono et al. 2011). A recent study provided evidences that the NB in soybean is controlled by four QTLs on Chrs 6, 11, 12, and 19. Among these, two QTLs (Chrs 6 and 11) overlapped with total pod number QTLs, indicating a possible positive correlation between branching and total pod number (Shim et al. 2017).
For the HKW (Fig. 1d), the cultivars with positive genotypic effect were BMX Turbo RR, FPS Iguaçu RR, BRS Tordilha RR, FPS Urano RR, BMX Apolo RR, BMX Energia RR, BMX Ativa RR, and BMX Alvo RR. On the other hand, the cultivars BMX Tornado RR, FPS Júpiter RR, BMX Magna RR, BMX Potência RR, FPS Paranapanema RR, BMX Força RR, Don Mario 6200, FPS Solimões RR, Fundacep 65 RR, and BMX Classe RR had negative genotypic effect. It is noticed that BMX Turbo RR, FPS Iguaçu RR, and BRS Tordilha RR (15.55, 15.44, and 14.74 g·100kernels–1) had no statistical difference between them and higher HKW.
The values observed in this study were less than the HKW observed in experiments conducted in Paraná (Deuner et al. 2015), but high than the HKW of cultivars in some growing season in Bahia (Cruz et al. 2010). In Rio Grande do Sul state the best values of HKW were observed in sowings up to December (Rigon et al. 2012). In this regard, the cultivars BMX Turbo RR, FPS Iguaçu RR, and BRS Tordilha RR showed good performance of in late sowing. The HKW is one of the main yield components. The seed size also has a positive relationship with the quality of the seeds, since seeds with larger size result in seedlings with higher dry mass, even under conditions of water or saline stress (Soares et al. 2015).
The GY is the main variable to be assessed when evaluating the agronomic performance of soybean cultivars. The BLUPs for GY (Fig. 2) revealed that the cultivars FPS Iguaçu RR, FPS Solimões RR, BMX Turbo RR, FPS Paranapanema RR, BMX Alvo RR, FPS Urano RR, BMX Potência RR, BMX Classe RR, and BMX Tornado RR had positive genetic effects. On the other hand, the cultivars BRS Tordilha RR, BMX Força RR, FPS Júpiter RR, BMX Energia RR, BMX Apolo RR, Don Mario 6200, BMX Ativa RR, BMX Magna RR, and Fundacep 65 RR had negative genotypic effects, i.e., had means below of the grand mean. Based on the width of confidence intervals, the cultivars between FPS Iguaçu RR (2.264 Mg∙ha–1) and BMX Força RR (1.792 Mg∙ha–1) had no statistical difference. This can be explained due to the high contribution of residual variance on the phenotypic variance for this trait. The larger the residual variance, the larger is the shrinkage effect on predicted means. This is basically what the BLUP does; to shrink the estimated genotypic and interaction effects towards their zero mean whenever σ 2 E > 0. This is desirable property of BLUP, since variance components of random effects are considered in the prediction of the response variable.
Figure 2
Predicted grain yield of 18 soybean cultivars growing in second-harvest.
Our results regarding GY are within the expected productivity for this period of cultivation in the Rio Grande do Sul state. Compared to a study carried out in Paraná state (two years of cultivation), the GY was close to the values observed in the months of January and higher than the productive performance of cultivars sown in February (Braccini et al. 2004).
The dendrogram represents the divergence among the studied cultivars (Fig. 3). At 5% probability error, four clusters (represented by different line types) were formed and are strongly supported by data. Group 1 (solid lines), was composed by the following cultivars: BMX Magna, BMX Força RR, FPS Júpiter RR, Potência RR, BMX Alvo, BMX Fundacep 65RR, Dom Mario 6200, and BRS Tordilha RR. Group 2 (dashed line) was composed by the cultivars BMX Turbo RR, BMX Tornado RR, and BMX Classe RR. Group 3 (dotted line) was composed by the cultivars BMX Energia RR, BMX Apolo RR, BMX Ativa RR, FPS Urano RR, FPS Paranapanema RR, and FPS Solimões RR. Finally, group 4 (dot-dash line) was composed by a single cultivar, FPS Iguaçu RR. The cophenetic correlation was 0.79, indicating good graphical representability of the original distance matrix (Sokal and Rohlf 1962).
Figure 3
Dendrogram of 18 soybean cultivars by the UPGMA method based on Gower's distance matrix. The diff erent line types represent the groups with approximately unbiased p-values < 0.05 obtained with 10,000 multiscale bootstrap resampling.
Considering the agronomic performance regarding the GY, the best cultivars were FPS Iguaçu RR, Solimões RR FPS, BMX Turbo RR, and FPS Paranapanema RR, indicating that these cultivars have potential to be cultivated in second-harvests cultivation, in addition, based on the per se performance, to be present in future breeding programs. In this sense, the choice of productive and divergent cultivars is also recommended, reducing the effect of the narrow genetic base, which occurs in domesticated crops that undergo intense selections during their breeding. According to a study by Wysmierski and Vello (2013), the genetic basis of Brazilian soybean cultivars has narrowed over the years, with four ancestral cultivars accounting for 55.3% of the genetic base of 444 evaluated cultivars.
In addition to make possible the selection of parents for the artificial crossing in future breeding programs, the choice of productive and divergent cultivars is an interesting practice for the recommendation of cultivars, since in case of an epidemic of any disease or an environmental event that results in a physiological stress, it is important that the genetic basis is as broad as possible, reducing the probability of a large-scale productivity loss. In this sense, based on the agronomic performance and genetic divergence, the two cultivars most suitable for cross-breeding and commercial cultivation in second-harvest cultivation in northwestern of Rio Grande do Sul are the cultivars FPS Iguaçu RR and BMX Turbo RR. Besides composing divergent groups, FPS Iguaçu RR had the best performance for GY, HKW, and PH whereas BMX Turbo RR had a promising performance for NB.
CONCLUSION
The cultivars FPS Iguaçu RR and BMX Turbo RR have good agronomic performance and are, based on quantitative and qualitative traits, genetically distant. These cultivars can be recommended both for cultivation in second-harvest in the northwestern of Rio Grande do Sul state and to be genitors in future soybean breeding programs.
ACKNOWLEDGMENTS
The authors are grateful to the National Council for Scientific and Technological Development (CNPq), to the Coordination for the Improvement of Higher Education Personnel (CAPES), and Research Support Foundation of Rio Grande do Sul (FAPERGS) for financial supports; we also thank the farmers Edson Tadeu Kosman, Gilmar Alfeu Demari, and Pablo Verdi, by the valuable collaboration in the conduction of trials.
REFERENCES
Almeida, R. D., Peluzio, M. J., and Afferri, S. F (2011). Divergência genética entre cultivares de soja, sob condições de várzea irrigada, no sul do Estado Tocantins. Revista Ciência Agronômica, 42, 108-115.
Braccini, A. L., Motta, I. S., Scapim, C. A., Braccini, M. C. L., Ávila, M. R., and Meschede, D. K. (2004). Características agronômicas e rendimento de sementes de soja na semeadura realizada no período de safrinha. Bragantia, 63, 81-92. https://doi.org/10.1590/S0006-87052004000100009
[CONAB] Companhia Nacional de Abastecimento (2018). Acompanhamento da safra brasileira de grãos - Safra 2017/18. CONAB; Accessed on 2018 March 20. Available at: https://www.conab.gov.br/info-agro/safras
Cruz, T. V., Peixoto, C. P., Martins, M. C. and Peixoto M. F. S. P. (2010). Componentes de produção de soja em diferentes épocas de semeadura no oeste da Bahia. Bioscience Journal, 26, 709-716.
Dempster, A. P., Laird, N. M., and Rubin, D. B. (1977). Maximum Likelihood from Incomplete Data via the EM Algorithm. Journal of the Royal Statistical Society, 39, 1-22. https://doi.org/10.1111/j.2517-6161.1977.tb01600.x
Deuner, C., Meneghello, G. E., Borges, C. T., Griep, L., Almeida, A. S., and Deuner, S. (2015). Rendimento e qualidade de sementes de soja produzidas sob diferentes manejos nutricionais. Revista de Ciências Agrárias, 38, 357-365.
Duarte, J. B., and Vencovsky, R. (2001). Estimação e predição por modelo linear misto com ênfase na ordenação de médias de tratamentos genéticos. Scientia Agricola, 58, 109-117. https://doi.org/10.1590/S0103-90162001000100017
Follmann, D. N., Cargnelutti Filho, A., Souza, V. Q., Nardino, M., Carvalho, I. R., Demari, G. H., Ferrari, M., Pelegrin A. J., and Szareski, V. J. (2017). Relações lineares entre caracteres de soja safrinha. Revista de Ciências Agrárias, 40, 213-221. https://doi.org/10.19084/RCA16027
Gower, J. C. (1971). A general coefficient of similarity and some of its properties. Biometrics, 27, 857-871. https://doi.org/10.2307/2528823
Lima, M. D., and Peluzio, J. M. (2015). Dissimilaridade genética em cultivares de soja com enfoque no perfil de ácidos graxos visando produzir bicombustíveis. Revista Brasileira de Ciências Agrárias, 10, 256-261, 2015. https://doi.org/10.5039/agraria.v10i2a5333
Ludwig, M. P., Dutra, L. M. C., Lucca Filho, O. A., Zabot, L., Uhry, D., Lisboa, J. I., and Jauer A. (2010). Características morfológicas de cultivares de soja convencionais e Roundup Ready TM em função da época e densidade de semeadura. Ciência Rural, 40, 759-767. https://doi.org/10.1590/S0103-84782010000400003
Lyimo, L. D., Tamba, M. R., and Madege, R. R. (2017). Effects of genotype on yield and yield component of soybean (Glycine max (L) Merrill). African Journal of Agricultural Research, 12, 1930-1939. https://doi.org/10.5897/AJAR2017.12177
[MAPA] Ministério da Agricultuira Pecuária e Abastecimento (2018). Registro nacional de Cultivares. CultivarWeb; Accessed on 2018 March 20. Available at: https://sistemas.agricultura.gov.br/snpc/cultivarweb/cultivares_registradas.php
Marconato, M. B, Pereira, E. M, Silva, F. M., Bizari, E. H., Pinheiro, J. B., Mauro, A. O., and Unêda-Trevisoli S. H. (2016). Genetic divergence in a soybean (Glycine max) diversity panel based on agro-morphological traits. Genetics and molecular research. 15, 1-10. https://doi.org/10.4238/gmr15048980
Matzenauer, R., Bergamaschi, H., Berlato, M. A., Maluf, J. R. T., Barni, N. A., Bueno, A. C., Didoné, I. A., Anjos, C. S., Machado, F. A., and Sampaio, M. R. (2002). Consumo de água e disponibilidade hídrica para milho e soja no Rio Grande do Sul. Porto Alegre: Editora Fepagro.
Meotti, G. V., Benin, G., Silva, R. R., Beche, E., and Munaro, L. B. (2012). Épocas de semeadura e desempenho agronômico de cultivares de soja. Pesquisa Agropecuária Brasileira, 47, 14-21. https://doi.org/10.1590/S0100-204X2012000100003
Peluzio, J. M., Lopes, L. A., Carvalho, E. V., Afférri, F. S., and Dotto, M. A. (2014). Características agronômicas e divergência genética de cultivares de soja para percentagem de óleo nas sementes. Revista de Ciências Agrárias. Amazonian Journal of Agricultural and Environmental Sciences, 57, 1-8. https://doi.org/10.4322/rca.2013.058
Piepho, H. P. (1994). Best linear unbiased prediction (BLUP) for regional yield trials: a comparison to additive main effects and multiplicative interaction (AMMI) analysis. Theoretical and Applied Genetics, 89, 647-654. https://doi.org/10.1007/BF00222462
R Core Team (2016). R: A language and environment for statistical computing. Vienna: R Foundation for Statistical Computing.
Ramteke, R., Singh, D., and Murlidharan, P. (2012). Selecting soybean (Glycine max) genotypes for insertion height of the lowest pod, the useful trait for combine harvester. Indian Journal of Agricultural Sciences, 82, 39-43.
Resende, M. D. V. (2002). Genética biométrica e estatística no melhoramento de plantas perenes. Brasília: Editora Embrapa-SCT.
Resende, M. D. V. (2016). Software Selegen-REML/BLUP: a useful tool for plant breeding. Crop Breeding and Applied Biotechnology, 16, 330-339. https://doi.org/10.1590/1984-70332016v16n4a49
Rezende, P. M., and Carvalho, E. A. (2007). Avaliação de cultivares de soja [Glycine max (L.) merrill] para o sul de Minas Gerais. Ciência e Agrotecnologia, 31, 1616-1623. https://doi.org/10.1590/S1413-70542007000600003
Rigon J. P. G, Capuani S., Brito Neto, J. F., Rosa, G. M., Wastowski, A. D., and Rigon, C. A. G. (2012). Dissimilaridade genética e análise de trilha de cultivares de soja avaliada por meio de descritores quantitativos. Revista Ceres, 59, 233-240. https://doi.org/10.1590/S0034-737X2012000200012
Rocha, R. S., Silva, J. A. L., Neves, J. A., Sediyama, T., and Teixeira, R. C. (2012). Desempenho agronômico de variedades e linhagens de soja em condições de baixa latitude em Teresina-PI. Revista Ciência Agronômica, 43, 154-162. https://doi.org/10.1590/S1806-66902012000100019
Rodrigues, J. I. D. S., Arruda, K. M. A., Cruz, C. D., Barros, E. G. D., Piovesan, N. D., and Moreira, M. A. (2017). Genetic divergence of soybean genotypes in relation to grain components. Ciência Rural, 47, 1-6. https://doi.org/10.1590/0103-8478cr20151258
Setiyono, T. D., Bastidas, A. M., Cassman, K. G., Weiss, A., Dobermann, A., and Specht, J. E. (2011). Nodal leaf area distribution in soybean plants grown in high yield environments. Agronomy Journal, 103, 1198-1204. https://doi.org/10.2134/agronj2011.0051
Shim, S., Kim, M. Y., Ha, J., Lee, Y. H., and Lee, S. H. (2017). Identification of QTLs for branching in soybean (Glycine max (L.) Merrill). Euphytica, 225, 1-9. https://doi.org/10.1007/s10681-017-2016-z
Silva, A. F., Sediyama, T., and Borém, A. (2015). Exigências edafoclimáticas. In T. Sediyama, F. Silva and A. Borém (Eds.), Soja do plantio à colheita (p. 54-65). Viçosa: Editora UFV.
Soares, M. M., Santos Junior, H. C., Simões, M. G., Pazzin, D., and Silva, L. J. (2015). Estresse hídrico e salino em sementes de soja classificadas em diferentes tamanhos. Pesquisa Agropecuária Tropical, 45, 370-378.
Sokal, R. R., and Rohlf, F. J. (1962). The comparison of dendrograms by objective methods. Taxon, 11, 33-40. https://doi.org/10.2307/1217208
Sousa, T. O., Chaves, D. V., Heberle, E., Costa Filho, J. H., Santana, F. S., Monteiro, C. R. B., Ferreira, R. S. and Santos, M. E. L (2016). Genetic divergence between soybean cultivars grown in the Cerrado in Southwestern Piauí, Brazil. African Journal of Agricultural Research, 11, 3519-3526. https://doi.org/10.5897/AJAR2016.11351
Suzuki, R., and Shimodaira, H. (2006). Pvclust: an R package for assessing the uncertainty in hierarchical clustering. Bioinformatics, 22, 1540-1542. https://doi.org/10.1093/bioinformatics/btl117
Teodoro, P. E., Torres, F. E. and Corrêa, A. M. (2016). Clustering of soybean genotypes via Ward-MLM and ANNs associated with mixed models. Genetics and molecular research: GMR, 15, 2016. https://doi.org/10.4238/gmr.15038384
Torres, F. E., David, G. V., Teodoro, P. E., Ribeiro, L. P., Correa, C. G., and Luz Júnior, R. A. (2015). Desempenho agronómico e dissimilaridade genética entre genótipos de soja. Revista de Ciências Agrárias, 38, 111-117.
Wysmierski, P. T., and Vello, N. A. (2013). The genetic base of Brazilian soybean cultivars: evolution over time and breeding implications. Genetics and molecular Biology, 36, 547-555. https://doi.org/10.1590/S1415-47572013005000041
Zanon A. J., Streck, N. A., Richter, G. L., Becker, C. C., Rocha, T. S. M., Cera, J. C., Winck, J. E. M., Cardoso, Â. P., Tagliapietra, E. L., and Weber, P. S. (2015). Contribuição das ramificações e a evolução do índice de área foliar em cultivares modernas de soja. Bragantia, 74, 279-290. https://doi.org/10.1590/1678-4499.046
Author notes
AUTHORS' CONTRIBUTION
Methodology, Follmann D. N., Souza V. Q.; Investigation, Follmann D. N., Demari G. H., Nardino M., Carvalho I. R., Silva A. D. B., Meira D., Meier C., Olivoto T.; Writing, Follmann D. N., Olivoto T., Cargnelutti Filho A.
*Corresponding author: diegonicolaufollmann@gmail.com
Source: https://www.redalyc.org/journal/908/90860451005/html/
0 Response to "Gower That Uses Factors Continuous and Semi quantitative Descriptors"
Post a Comment